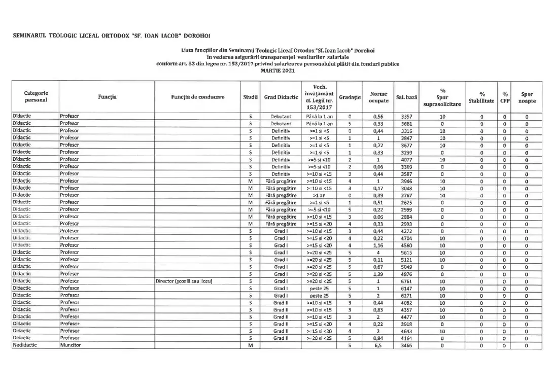
1 Martie 2021 Postat în: Documente de interes public Noutăți Documente Lista-veniturilor-realizate-de-angajaţii-STLD-Martie-2021 (188.48 KB)